近日,中科院海洋所在大型经济褐藻裙带菜的性别决定机制研究中取得新进展,相关研究成果以“Identification of a genomic region linked with sex determination of Undaria pinnatifida (Alariaceae) through genomic resequencing and genetic linkage analyses of a segregating gametophyte family”为题在国际藻类学期刊Journal of Phycology上发表。
裙带菜在我国是仅次于海带的第二大经济褐藻和重要的出口创汇水产品。与经典的关于海带目褐藻性别表型的认知不同,裙带菜单倍配子体世代存在雌性、雄性、雌雄同体三种性别表型,但是目前其性别决定机制尚未可知。
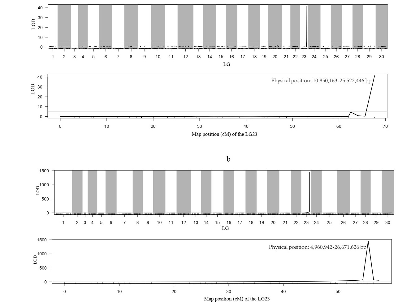
海藻种质库研究人员将具有雌雄同体表型的单倍配子体与雌性单倍配子体进行杂交获得孢子体,经减数分裂后大规模构建了子代单倍配子体克隆家系。以前期完成的裙带菜基因组为参考,利用重测序技术开发多态性SNP标记并构建高密度遗传图谱。由此发现62个SNP与性别性状紧密连锁,它们位于23号连锁群67.67 cM的位置,对应于23号染色体的一段长度为14.67 Mbp的物理区间。
团队将前期在另一个不同单倍体分离家系中开发的SLAF标签按照有参考基因组的方法进行重新分析,构建遗传图谱并对性别位点进行定位,发现性别连锁位点对应的基因组位置包含了上述14.67 Mbp的区间,由此判断该区间为性别决定区域。该区间共有129个基因,其中39个有明确的注释信息,包含了褐藻雄性表型决定的候选基因——HMG基因。基因表达分析结果显示,HMG基因在雄性配子体的营养生长阶段及雌雄同体配子体营养生长和配子发生阶段表达量较高,而在雄性配子体的配子发生阶段表达量较低。上述研究成果为阐明海带目海藻性别决定分子机制这一重要科学问题奠定了基础,也为有效开展裙带菜遗传育种提供了重要理论依据。

图:两个作图家系遗传连锁分析定位到的性别连锁重叠区,位于23号染色体的一段长度为14.67?Mbp的区间
中科院海洋所单体锋研究员为论文第一作者,逄少军研究员为通讯作者。研究得到了国家自然科学基金面上项目、国家藻类产业技术体系、中科院战略生物资源能力建设项目及中科院海洋所汇泉学者项目的支持。
论文信息:
Tifeng Shan, Yuqian Li, Shaojun Pang. 2022. Identification of a genomic region linked with sex determination of Undaria pinnatifida (Alariaceae) through genomic resequencing and genetic linkage analyses of a segregating gametophyte family. Journal of Phycology https://doi.org/10.1111/jpy.13295