科技进展
您当前的位置 :
   凋落物分解是森林生态系统碳收支和养分循环的核心过程,凋落物的基质质量、土壤生物、环境因子是影响凋落物分解的三大关键要素,共同决定了碳和养分循环速率。以往针对影响凋落物分解三大要素大多开展单一要素研究,而凋落物基质、土壤生物与环境因子对凋落物分解影响的相对重要性、以及对碳和养分释放影响的异同尚不清楚。
  为此,中国科学院沈阳应用生态研究所次生林生态与经营组研究团队,依托中国科学院清原森林生态系统观测研究站/辽宁清原森林生态系统国家野外科学观测研究站2007年建立的四组毗邻次生林和人工林试验平台,综合考虑影响凋落物分解的三大要素,于2012年野外布设了5040个凋落物分解袋(图1),探究了不同树种单一和混合凋落物基质、不同大小土壤生物和凋落物分解环境对凋落物分解速率、碳和养分释放的影响规律。

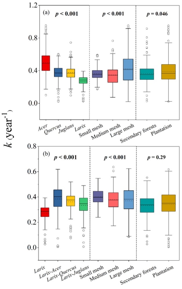
  研究发现,凋落物基质质量是决定其分解速率的第一要素,土壤生物和凋落物分解环境分别是第二、第三要素(图2)。通过对表征凋落物基质的10余个指标分析发现,凋落物镁含量、木质素与磷的比值是影响分解的重要因子;突破了传统上普遍认为的氮和木质素控制木本植物凋落物分解的认知。研究还发现,凋落物基质显著影响单一和混合凋落物氮和锰的释放,与人工针叶(如落叶松)凋落物相比,阔叶树种提高了氮和锰的释放达20%以上,且在土壤肥力相对较差的人工林土壤中更明显;即在森林生态系统植物-土壤相互作用过程中,土壤肥力除了与凋落物基质有关外,还与土壤本身原有肥力相关。研究结果揭示了凋落物分解调控因素之间的相对重要性和差异,为单一和混合凋落物碳和养分周转、人工林土壤肥力恢复等提供重要参考。

  上述研究成果以“Litter decomposition and nutrient release from monospecific and mixed litters: comparisons of litter quality, fauna and decomposition site effects”(http://doi.org/10.1111/1365-2745.13902)为题发表在Journal of Ecology期刊上。沈阳生态所次生林生态与经营组杨凯研究员为第一作者,朱教君研究员为通讯作者,其他合作者包括沈阳生态所卢德亮副研究员、郑晓研究员和克莱姆森大学王高峰教授等。研究得到了国家自然科学优秀青年基金项目(31922059)、973计划项目(2012CB416900)和中国科学院前沿科学重点研究计划 (ZDBS-LY-DQC019)资助。
  
  图1 单一和混合凋落物分解野外原位试验
  
  图2 凋落物基质、土壤生物和环境因子(土壤肥力)三大要素对凋落物分解的影响
附件: