微生物是土壤有机碳矿化过程的驱动者,因此微生物个体的活性将直接影响土壤碳的周转速率。研究发现全球变暖会促进土壤有机碳的释放,可能的原因是升温增加了土壤微生物的活性、改变了土壤微生物群落结构,进而加速了有机碳的分解。但是,由于土壤微生物具有个体小、数量多和功能复杂等特征,如何量化升温后土壤微生物个体水平上的功能变化、如何建立微生物的功能与土壤碳循环过程间的关系一直是土壤学者面临的难题。
稳定性同位素核酸探针技术(SIP)将稳定性同位素示踪和分子生物学方法相结合,能够在复杂的环境中分析微米尺度下微生物的生理特性,以此获取参与土壤物质转化的功能微生物信息。2000年英国J. Colin Murrell教授实验室首次完成了13C-SIP实验(Murrell et al. 2000, Nature),开拓了稳定性同位素示踪微生物基因组的研究领域。但是,这种SIP技术只能定性指示哪些微生物参与某个特定的物质循环过程,而不能量化这些微生物对物质循环的贡献。定量稳定性同位素探针技术(qSIP)技术解决了这个问题。在普通SIP方法的基础上,qSIP结合实时定量PCR和高通量测序技术,利用模型可以计算每个微生物同化同位素的量,进而量化微生物参与的特定生态学过程(Hungate et al. 2015, AEM)。
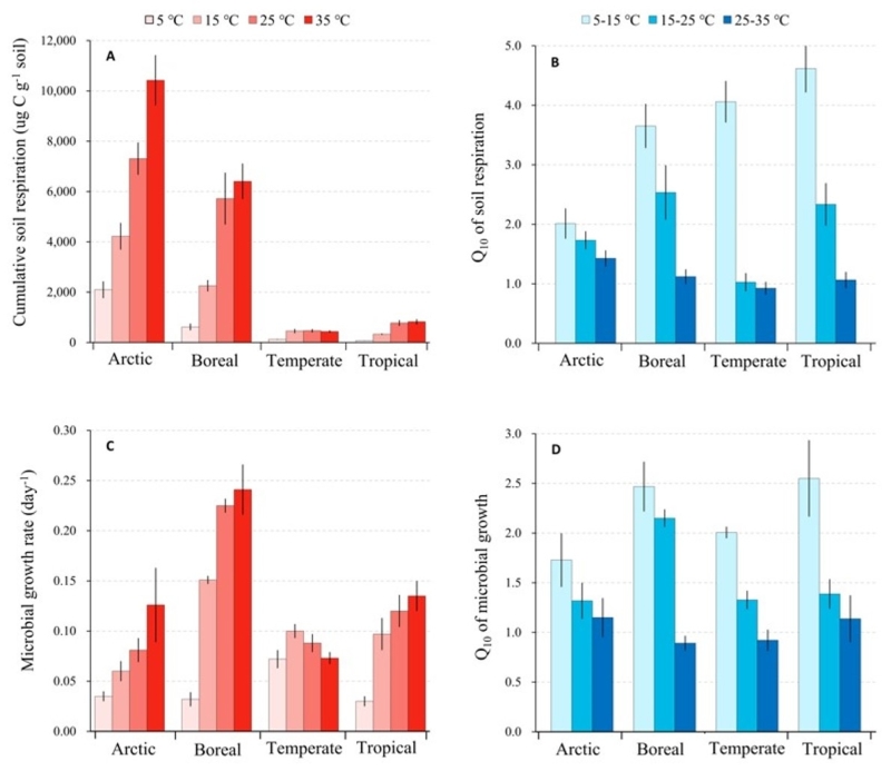
全球变暖引起土壤微生物生理活性的变化与土壤有机碳分解间的关系还存在诸多不确定性。基于此,沈阳生态所王超副研究员与美国西弗吉尼亚大学、北亚利桑那大学等单位的学者进行合作,从热带、温带、寒带和北极采集土壤进行增温模拟实验,利用qSIP技术量化了土壤微生物的生长速率及其温度敏感性,同步测量土壤有机碳的矿化速率和温度敏感性,结果发现:1)增温加速了土壤有机碳的矿化速率,但是降低了有机碳矿化速率的温度敏感性。同样,增温促进了微生物的生长速率、降低了微生物生长速率的温度敏感性(图1);2)线性回归分析发现微生物生长速率的温度敏感性与土壤有机碳矿化的温度敏感性存在极显著的正相关性(图2),说明土壤微生物活性对温度的响应是调控土壤碳释放的关键因子;3)研究计算了每个微生物物种水平上的生长速率及其温度敏感性,发现微生物生长速率的温度敏感性具有显著的生物进化特征,即同一门或纲分类下的微生物的温度敏感性数值相近(图3)。这项研究表明,每个微生物的生理特征直接调控整个群落的功能性状,进而会影响土壤的物质循环过程。本研究首次量化了增温对土壤微生物生长速率的影响,为构建具有微生物属性的全球变化模型提供了强有力的数据和技术支持。

图1. 土壤呼吸速率、微生物生长速率以及各自的温度敏感性

