非硅基类有序介孔碳材料(OMCs)是一种介稳态碳晶体,具有非常大的比表面积、孔容量以及有序排列的孔结构。近日,中国科学院青岛生物能源与过程研究所生物传感器团队研究人员系统构筑了基于OMCs的电化学传感体系,用于硝基苯酚异构体和硝基苯基有机磷的选择性、灵敏检测,开发出的化学/生物电化学传感器可应用于海水、污水环境中的污染物组分检测。相关成果发表在Electrochimica Acta、Analytica Chimica Acta、Electrochimica Acta 等。
该团队研究人员郎巧霖和研究生张婷婷等利用硬模板法合成OMCs(图1),首次发现硝基苯酚同分异构体在OMCs修饰的玻碳电极(GCE)(OMCs/GCE)上出现彼此分开的还原峰(图2),利用差分脉冲伏安法(DPV) 可实现邻、间、对硝基苯酚三种异构体的同时检测,常见的组分对其测定无干扰。(Electrochimica Acta 2013, 106, 127-134)。
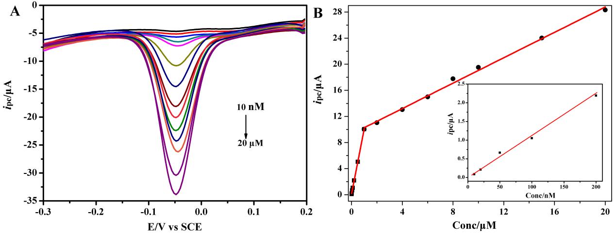
该研究小组还开发了超灵敏、选择性检测硝基苯基有机磷的电化学传感器。利用差分脉冲伏安法技术在OMCs/GCE上检测硝基苯基有机磷(对氧磷、对硫磷、甲基对硫磷等),检出限达nM级(图3)。且测定过程无需除氧,与传统除氧方法相比有了较大进步。 (Analytica Chimica Acta 2014, 822, 23–29)。
此外,该小组选择对硝基苯酚和对甲苯酚分别作为吸电子和供电子取代酚衍生物代表,研究了酚类在OMCs/GCE上的电化学行为及反应机理。基于取代基效应引起不同取代酚的pKa值和Epa的差异,研究人员提出了一种全新、简便的方法来预测取代酚类的pKa值 (Electrochimica Acta 2014, 115, 283–289)。
上述研究由刘爱骅研究员主持完成,获得了国家自然科学基金资助。中国海洋大学李铁副教授团队、福州大学魏明灯教授团队等也参与了研究。

图 1 . OMCs透射电镜照片
(A)介孔隧道结构,(B)沿[001]方向照片

图2. OMCs/GCE电极在三种硝基苯酚混合液(PBS缓冲液, pH4.8)中的DPV图
p-NP, m-NP 和 o-NP浓度分别为(a)10 M,(b)20 M,(c)30 M。DPV测定参数:平衡时间,2s; 电位幅度, 50 mV; 脉冲周期,0.5s; 阶跃高度, 4 mV; 频率, 60 Hz

图3. (A),OMCs/GCE在不同浓度对氧磷溶液(PBS缓冲液, pH6.0)的DPV图。DPV测定参数:平衡时间2s; 电位幅度, 50 mV; 脉冲周期,0.5s; 阶跃高度, 4 mV; 频率, 60 Hz。(B),浓度-电流曲线,内插图为10-200 nM区间内的放大图。
原文链接:
1. Electrochimica Acta 2013, 106, 127-134.
http://www.sciencedirect.com/science/article/pii/S0013468613009602
2. Analytica Chimica Acta 2014, 822, 23–29.
http://www.sciencedirect.com/science/article/pii/S0003267014003262
3. Electrochimica Acta 2014, 115, 283–289.
http://www.sciencedirect.com/science/article/pii/S0013468613021282